Peking University| College of Chemistry| SSL Chemistry Page| SSL Personal Page

NMR Work| Chemistry Work| My Photo Album| My Drawing

                 NMR Work:  NMR_Course| NMR_Operation| NMR_Softwares| NMR_Forum| NMR_Info

                     Chemistry Work:   Chemistry Courses: 有机合成化学  自编讲义| 化学信息学  自编讲义

                         My Photo Album:  NMR: NMR_Instruments| NMR_Friends|   Chemistry: Chemistry_Friends|  Group_Members|    Life: Friends| Relatives

                                                             Family:   Home-Orchard|  Family| Yi-Cheng| Yi-Jun|  USA_Memory|  Old_Memory 

                             My Drawing Drawing_old|  Drawing_1990's|  Drawing_new|  Drawing_Lab

                                     --------------------------------------------------------------------------------

                          NMR Course:   NMR 相关知识介绍| NMR 基本操作| NMR 解谱 (1) | NMR 在化学中的应用| 氘代试剂相关知识 | 实验室开放管理 

                       NMR  Operation:  Varian-NMR: 氢谱碳谱| DEPT/ APT| 基本二维谱| 进阶二维谱| 进阶核磁谱| 杂核检测| 变温| VnmrJ    Bruker-NMR|       Jeol-NMR

                   NMR Softwares:  Mestrec| Nuts| Delta

                NMR Forum:  检测技术| 谱图分析| 其他交流  (栏目展开)`

                                                             --------------------------------------------------------------------------------

                    有机合成化学  自编讲义:  反应机理| 官能基团转换| 命名反应| 立体化学| 立体电子化学| 有机氧化还原| 逆合成分析| 有机技术化学| 有机化学史| 有机功能化合物

                        化学信息学  自编讲义:  美国化学文摘(印刷)CAonCD(光盘)/ SciFinder(网络)| 贝尔斯坦/ Crossfire(网络)| 专利| 科学引文(SCI)| 图书| 图书馆| 工具书| 期刊| 网络化学信息  

 


 

 有机合成讲义:

 反应机理|

 官能基团转换|

 命名反应|

 立体化学|

 立体电子化学|

 有机氧化还原|

 逆合成分析|      

 有机技术化学|

 有机化学史|

 有机功能化合物|

 

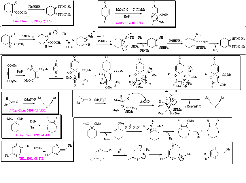
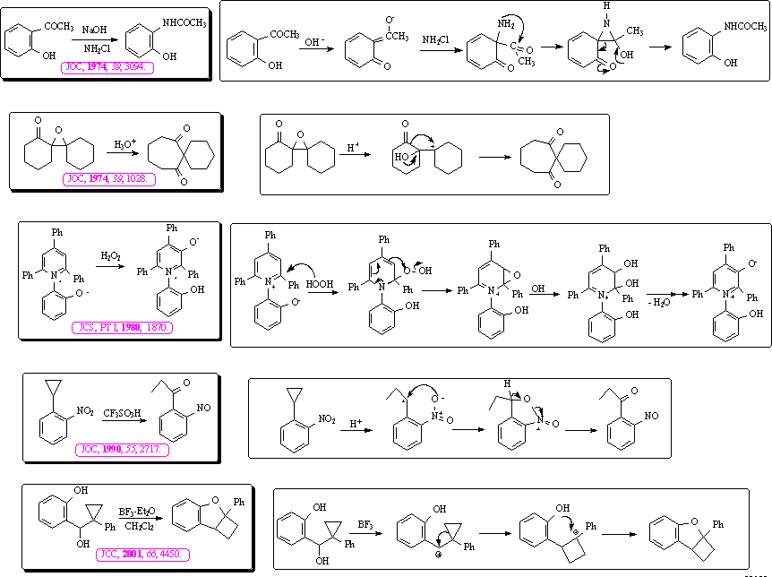
反应机理

 

(点击下面图框, flash 观看 PPT 内容)

 

分页浏览

 

 

范例

 

1 (共 30)

 

2

 

3

 

4

 

5

 

6

 

7

 

8

 

9

 

10

 

11

 

12

 

13

 

14

 

15

 

16

 

17

 

18

 

19

 

20

 

21

 

22

 

23

 

24

 

25

 

26

 

27

 

28

 

29

 

30